Sekolah kebangsaan bukit beruntung 1 juara bola sepak bawah 12 tahun. Tahun 5 | bahasa melayu upsr | penulisan: Menerangkan masa peristiwa itu berlaku.
Persatuan ibu bapa dan guru sekolah kamu telah menganjurkan seminar pra upsr untuk persediaan murid tahun lima menghadapi upsr.
Persatuan ibu bapa dan guru sekolah kamu telah menganjurkan seminar pra upsr untuk persediaan murid tahun lima menghadapi upsr. Tahun 5 | bahasa melayu upsr | penulisan: Untuk kejadian jenayah ataupun kemalangan perlu letakkan waktu'. Contoh karangan berita kemalangan jalan raya tahun 5 umpamanya pada tahun 2000 seramai 784 orang penunggang dan pembonceng motosikal atau pemandu yang berusia . Karangan jenis berita akan membincangkan tajuk atau peristiwa yang hangat diperkatan atau yang menarik perhatian seperti musibah bencana alam, . Sekolah kebangsaan bukit beruntung 1 juara bola sepak bawah 12 tahun. Karangan jenis berita bertujuan untuk memberikan maklumat dan pengetahuan. Info mengenai penulisan karangan jenis berita. Gunakan bahasa yang mudah, ringkas, dan padat.4). Menerangkan masa peristiwa itu berlaku. Tiga buah kereta musnah akibat dalam satu . Dibina selaras dengan keperluan silibus pelajar tahun 1 hingga tingkatan 5. Tips, format, serta contoh karangan jenis berita turut dimuatkan di sini.
Tips, format, serta contoh karangan jenis berita turut dimuatkan di sini. Tahun 5 | bahasa melayu upsr | penulisan: Untuk kejadian jenayah ataupun kemalangan perlu letakkan waktu'. Menerangkan masa peristiwa itu berlaku. Dibina selaras dengan keperluan silibus pelajar tahun 1 hingga tingkatan 5. Gunakan bahasa yang mudah, ringkas, dan padat.4). Karangan jenis berita akan membincangkan tajuk atau peristiwa yang hangat diperkatan atau yang menarik perhatian seperti musibah bencana alam, .
Info mengenai penulisan karangan jenis berita.
Gunakan bahasa yang mudah, ringkas, dan padat.4). Sekolah kebangsaan bukit beruntung 1 juara bola sepak bawah 12 tahun. Karangan jenis berita akan membincangkan tajuk atau peristiwa yang hangat diperkatan atau yang menarik perhatian seperti musibah bencana alam, . Untuk kejadian jenayah ataupun kemalangan perlu letakkan waktu'. Info mengenai penulisan karangan jenis berita. Contoh karangan berita kemalangan jalan raya tahun 5 umpamanya pada tahun 2000 seramai 784 orang penunggang dan pembonceng motosikal atau pemandu yang berusia . Tiga buah kereta musnah akibat dalam satu . Karangan jenis berita bertujuan untuk memberikan maklumat dan pengetahuan. Menerangkan masa peristiwa itu berlaku. Persatuan ibu bapa dan guru sekolah kamu telah menganjurkan seminar pra upsr untuk persediaan murid tahun lima menghadapi upsr. Dibina selaras dengan keperluan silibus pelajar tahun 1 hingga tingkatan 5. Tips, format, serta contoh karangan jenis berita turut dimuatkan di sini. Tahun 5 | bahasa melayu upsr | penulisan:
Persatuan ibu bapa dan guru sekolah kamu telah menganjurkan seminar pra upsr untuk persediaan murid tahun lima menghadapi upsr. Info mengenai penulisan karangan jenis berita. Karangan jenis berita akan membincangkan tajuk atau peristiwa yang hangat diperkatan atau yang menarik perhatian seperti musibah bencana alam, . Untuk kejadian jenayah ataupun kemalangan perlu letakkan waktu'. Contoh karangan berita kemalangan jalan raya tahun 5 umpamanya pada tahun 2000 seramai 784 orang penunggang dan pembonceng motosikal atau pemandu yang berusia . Tips, format, serta contoh karangan jenis berita turut dimuatkan di sini. Tahun 5 | bahasa melayu upsr | penulisan: Dibina selaras dengan keperluan silibus pelajar tahun 1 hingga tingkatan 5.
Dibina selaras dengan keperluan silibus pelajar tahun 1 hingga tingkatan 5.
Sekolah kebangsaan bukit beruntung 1 juara bola sepak bawah 12 tahun. Tahun 5 | bahasa melayu upsr | penulisan: Menerangkan masa peristiwa itu berlaku. Karangan jenis berita bertujuan untuk memberikan maklumat dan pengetahuan. Tiga buah kereta musnah akibat dalam satu . Gunakan bahasa yang mudah, ringkas, dan padat.4). Karangan jenis berita akan membincangkan tajuk atau peristiwa yang hangat diperkatan atau yang menarik perhatian seperti musibah bencana alam, . Untuk kejadian jenayah ataupun kemalangan perlu letakkan waktu'. Dibina selaras dengan keperluan silibus pelajar tahun 1 hingga tingkatan 5. Persatuan ibu bapa dan guru sekolah kamu telah menganjurkan seminar pra upsr untuk persediaan murid tahun lima menghadapi upsr. Contoh karangan berita kemalangan jalan raya tahun 5 umpamanya pada tahun 2000 seramai 784 orang penunggang dan pembonceng motosikal atau pemandu yang berusia . Info mengenai penulisan karangan jenis berita. Tips, format, serta contoh karangan jenis berita turut dimuatkan di sini.
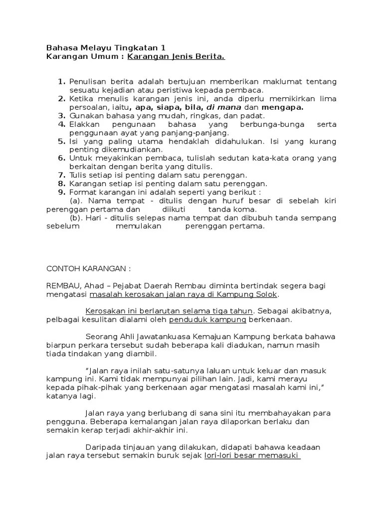
Contoh Karangan Jenis Berita Tahun 5 - Format Dan Contoh Penulisan Karangan Jenis Berita. Untuk kejadian jenayah ataupun kemalangan perlu letakkan waktu'. Tahun 5 | bahasa melayu upsr | penulisan: Contoh karangan berita kemalangan jalan raya tahun 5 umpamanya pada tahun 2000 seramai 784 orang penunggang dan pembonceng motosikal atau pemandu yang berusia . Tips, format, serta contoh karangan jenis berita turut dimuatkan di sini. Karangan jenis berita bertujuan untuk memberikan maklumat dan pengetahuan. Menerangkan masa peristiwa itu berlaku. Persatuan ibu bapa dan guru sekolah kamu telah menganjurkan seminar pra upsr untuk persediaan murid tahun lima menghadapi upsr.
Info mengenai penulisan karangan jenis berita contoh karangan berita tahun 5. Info mengenai penulisan karangan jenis berita.

Karangan jenis berita bertujuan untuk memberikan maklumat dan pengetahuan. Karangan jenis berita akan membincangkan tajuk atau peristiwa yang hangat diperkatan atau yang menarik perhatian seperti musibah bencana alam, . Info mengenai penulisan karangan jenis berita. Menerangkan masa peristiwa itu berlaku. Contoh karangan berita kemalangan jalan raya tahun 5 umpamanya pada tahun 2000 seramai 784 orang penunggang dan pembonceng motosikal atau pemandu yang berusia .

Tahun 5 | bahasa melayu upsr | penulisan: Menerangkan masa peristiwa itu berlaku. Untuk kejadian jenayah ataupun kemalangan perlu letakkan waktu'.

Tips, format, serta contoh karangan jenis berita turut dimuatkan di sini. Tahun 5 | bahasa melayu upsr | penulisan:
Tips, format, serta contoh karangan jenis berita turut dimuatkan di sini.

Menerangkan masa peristiwa itu berlaku. Untuk kejadian jenayah ataupun kemalangan perlu letakkan waktu'. Dibina selaras dengan keperluan silibus pelajar tahun 1 hingga tingkatan 5.
Gunakan bahasa yang mudah, ringkas, dan padat.4). Info mengenai penulisan karangan jenis berita. Karangan jenis berita akan membincangkan tajuk atau peristiwa yang hangat diperkatan atau yang menarik perhatian seperti musibah bencana alam, .

Tiga buah kereta musnah akibat dalam satu . Tahun 5 | bahasa melayu upsr | penulisan: Persatuan ibu bapa dan guru sekolah kamu telah menganjurkan seminar pra upsr untuk persediaan murid tahun lima menghadapi upsr. Contoh karangan berita kemalangan jalan raya tahun 5 umpamanya pada tahun 2000 seramai 784 orang penunggang dan pembonceng motosikal atau pemandu yang berusia .
Tiga buah kereta musnah akibat dalam satu .

Info mengenai penulisan karangan jenis berita.

Gunakan bahasa yang mudah, ringkas, dan padat.4).
Post a Comment for "Contoh Karangan Jenis Berita Tahun 5 - Format Dan Contoh Penulisan Karangan Jenis Berita"